Table of Contents
Base queries
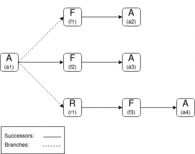
In the following a set queries is listed and the results of them applied on the graph in the image. This graph is created by the turtle query: A[F A][R F A] F A ;
| Query | Result | Description |
| Basic | ||
| A or a:A | {a1,a2,a3,a4} | addresses all instances of module A |
| a:A,a.len==1 or A(1) | all A with len==1 | unary predicates |
| Node based path pattern | ||
| (* A F *) A | {a3} | direct combination of nodes |
| (* F *) A | {a2,a3,a4} | other example |
| Edge based path pattern | ||
| ANY_EDGE | ||
| (* A --> *) F | {f1,f2} | next node |
| A (*<-- F*) | {a2,a3,a4} | prev node |
| (* F -- *) A | {a1,a2,a3,a4} | undirected |
| SUCCESSOR_EDGE | ||
| (* A > *) F | {f2} | next node |
| A (* < F *) | {a2,a3,a4} | prev node |
| (* F --- *) A | {a1,a2,a3,a4} | undirected |
| BRANCH_EDGE | ||
| (*A +>*) F | {f1} | next node |
| A (* <+ F *) | {} | prev node |
| (*F -+- *) A | {a1} | undirected |
| Single Match, Late Match and Optional Patterns | ||
| A (: --> F) | {f1} | stop after the first pattern |
| A (& --> F) | {f1} | search for this pattern last |
| A (? +> F) | {Null} | changes nothing to NULL |
| Transitive closures | ||
| (* A (-->)* *) A | {a1,a2,a3,a4} | (0-to-n edges possible) |
| (* A (-->)+ *) A | {a2,a3,a4} | (1-to-n edges possible) |
| (* A (-->)? *) F | {f1,f2} | (0-to-1 edges possible) |
| (* A (-->){2} *)F | {f2} | 2 edges |
| (* A (-->){1,2} *) A | {a2,a3} | min 1 max 2 edges |
| Combined | ||
| f:F, A +> f, A < f | {f1} | patterns combined by comma |
| (* A > > *) A | {a3} | Path described by single edges |
| (* A +> > *) A | {a2} | other example |
Additional information
Field based conditions
| Query | Result | Description |
| A(2,2.3) | a1 | all fields are defined |
| A(2,) | a1,a3,a4 | only the first field is defined and considered |
| A(2,x),(x>2) | a1,a3 | the first field is set, the second is a query variable used in a condition |
| A(,x),(x>2) | a1,a2,a3 | the first field undefined, the second is a query variable used in a condition |
| A(x,y),(x>y) | a4 | both fields are query variables used in the same condition |
The condition part behind the comma can be replaced by any boolean condition, including predefined functions that return a boolean value. The query variables defined here can also be used in the production of the rewriting rule or in followup expressions of a lambda expression.
Queries as query conditions
As said above a query condition can be any boolean condition, this includes also queries and lambda expressions, as long as the return a boolean value for example the Analytical Operator empty(), here used to find the last F of each branch and remove it using a SPO rule.
[f:F,(empty((*f (-->)+ F*))) ==>>;]
Or a query as a part of a boolean condition, for example used with the count operator to get the order of an internode in a tree model:
(*f:F,(count((*f ((<)*<+)+F*))==0)*) //all F of order 0 (*f:F,(count((*f ((<)*<+)+F*))==1)*) //all F of order 1
The inner query of this is explained below.
Transitive closures
As shown above transitive closure can be used to define a range of edges between two nodes, e.g. A (>)* B for all B with A successor of an A. This can be combined with other edges: A (>)* +> B to show
| query | description |
A (>)+ B | All B's that have a A above connected only by successor edges |
A (>)* +> B | All B's that have a A above connected only by successor edges and one branch-edge directly before the B |
A ((>)* +>)+ B | All B's where the edge pattern of as many successors and one branch, comes at least once between the B and an A |
A (>)* +> (>)* B | As many sucessors followed by a branch followed by as many successors |
A (-->)* C (-->)* B | All B' that have an ancestor of the type A and an ancestor of the type C with C between the A and the B |
Using transitive closure it is possible to find the same node several times!!! for instance in a graph
Axiom ==> A A A B;
the pattern (*A (>)* B*) would return B three times.


